走进葆隆
企业简介
使命愿景
核心团队
发展历程
合作伙伴
产品中心
MAH产品
进口引进
精细化工品
杂质
技术与服务
研发服务
MAH持证合作
国内外注册申报服务
一致性评价
杂质定制
项目推荐
新闻中心
公司新闻
行业动态
葆隆药讯
加入我们
招贤纳士
人才培养
团建活动
联系我们
联系我们
不良反应报告
在线留言
En
产品中心
PRODUCT CENTER
MAH产品
进口引进
精细化工品
杂质
首页
»
产品中心
»
进口引进
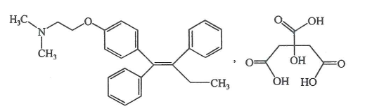
枸橼酸他莫昔芬
Tamoxifen Citrate
CAS号:54965-24-1
剂型:原料药
产品来源:境外生产
登记状态:I
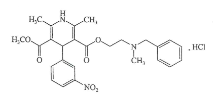
盐酸尼卡地平
Nicardipine hydrochloride
CAS号:54527-84-3
剂型:原料药
产品来源:境外生产
登记状态:I
谷维素
Oryzanol
CAS号:11042-64-1
剂型:原料药
产品来源:境外生产
登记状态:A
法莫替丁
Famotidine
CAS号:76824-35-6
剂型:原料药
产品来源:境外生产
登记状态:A
左甲状腺素钠
Levothyroxine Sodium
CAS号:25416-65-3
剂型:原料药
产品来源:境外生产
登记状态:A
中
EN
关闭
联系电话
021-36583988
官方微信
关注葆隆
在线咨询
在线咨询
在线咨询
在线留言